Dövlət Xidməti unun topdansatış qiymətləri barədə məlumat yayıb
Hazırda Azərbaycanda 50 kq-lıq un kisələrinin topdansatış qiymətləri 26-28 manat arasında dəyişir.
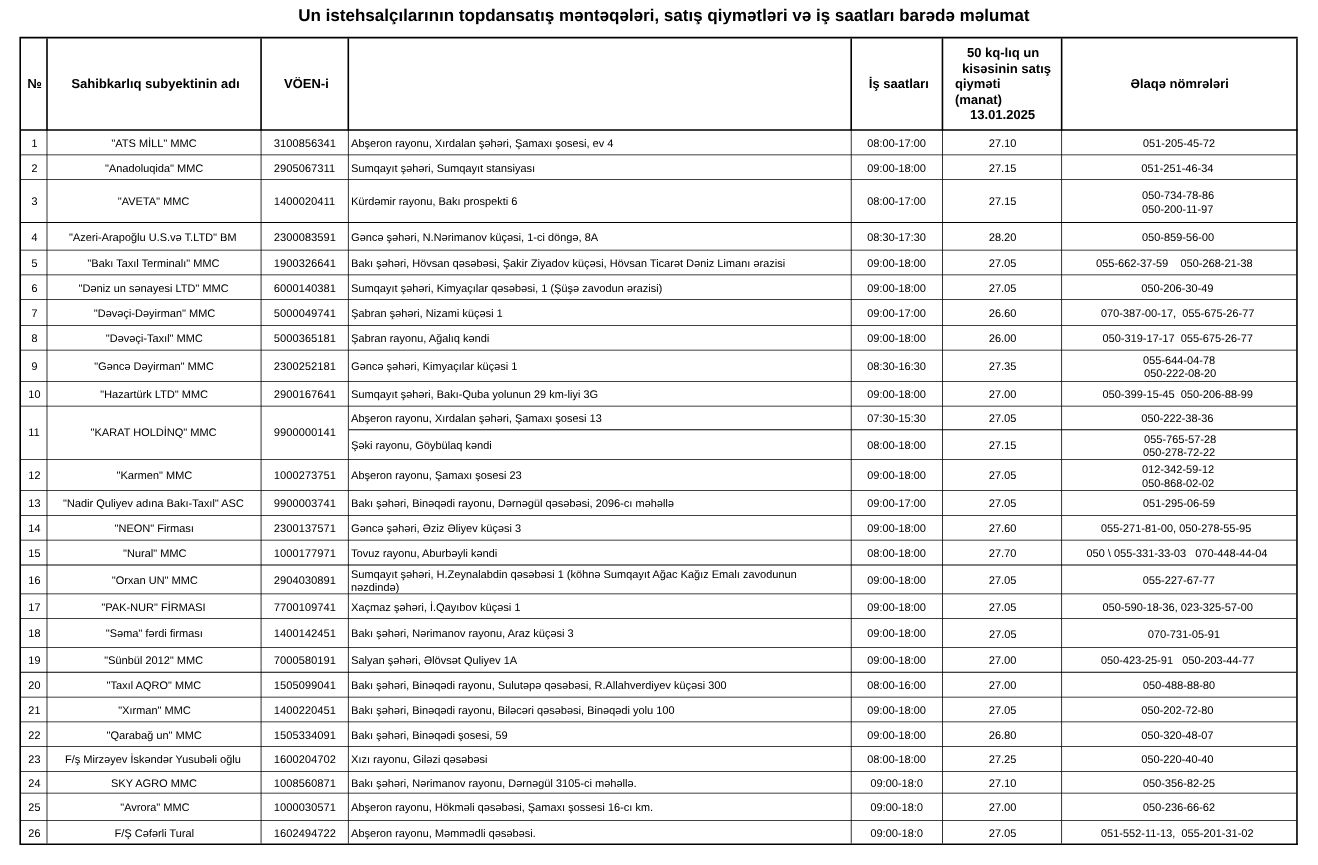
İqtisadiyyat Nazirliyi yanında Antiinhisar və İstehlak Bazarlarına Nəzarət Dövlət Xidməti Un istehsalçılarının topdansatış məntəqələri, satış qiymətləri və iş saatları barədə məlumat yayıb.
Qeyd edilib ki, 13 Yanvar 2025-ci il tarixində 50 kq-lıq un kisəsinin satış qiymətləri 26 manat - 28.20 manat civarındadır.
Müştərilərin xəbərləri
SON XƏBƏRLƏR
- 2 həftə sonra
- 23 saat sonra
-
8 d. əvvəl
Azercell-in dəstəyi ilə “Azərbaycan Biznes Keys Müsabiqəsi 2026” baş tutub
-
-
17 d. əvvəl
Bakcell-in baş icraçı direktoru Klaus Müller vəzifəsindən ayrılıb
- 38 d. əvvəl
- 51 d. əvvəl
-
1 saat əvvəl
"VTB (Azərbaycan)" böyüyüb - kredit və depozit portfelləri artıb
-
1 saat əvvəl
Unibank 1-ci rübün maliyyə nəticələrini açıqladı - "Bu il bankımız üçün transformasiya ilidir"
-
1 saat əvvəl
"NEQSOL Holding"in şirkətləri Azərbaycanda ən iri vergi ödəyiciləri sırasında
- 2 saat əvvəl
- 2 saat əvvəl
- 3 saat əvvəl
Son Xəbərlər
AzVak-da elan yerləşdirib, daha tez işçi tapın !
"PAŞA Bank" səhmlərinə sahib olun!
Bakcell-in baş icraçı direktoru Klaus Müller vəzifəsindən ayrılıb
"VTB (Azərbaycan)" böyüyüb - kredit və depozit portfelləri artıb
"AccessBank" 13 milyon manata yaxın xalis mənfəət açıqladı
Ən çox oxunanlar
Unicapital ilə PAŞA Bank səhmlərinə investisiya edin
Aprelin 15-də gözlənilən hava şəraiti
Bank omayan kredit təşkilatı mənfəətdən zərərə keçib






.jpg)









.jpg)







