Dünyada buğda ucuzlaşsa da, Azərbaycanda un istehsalçıları qiymətləri artırıb
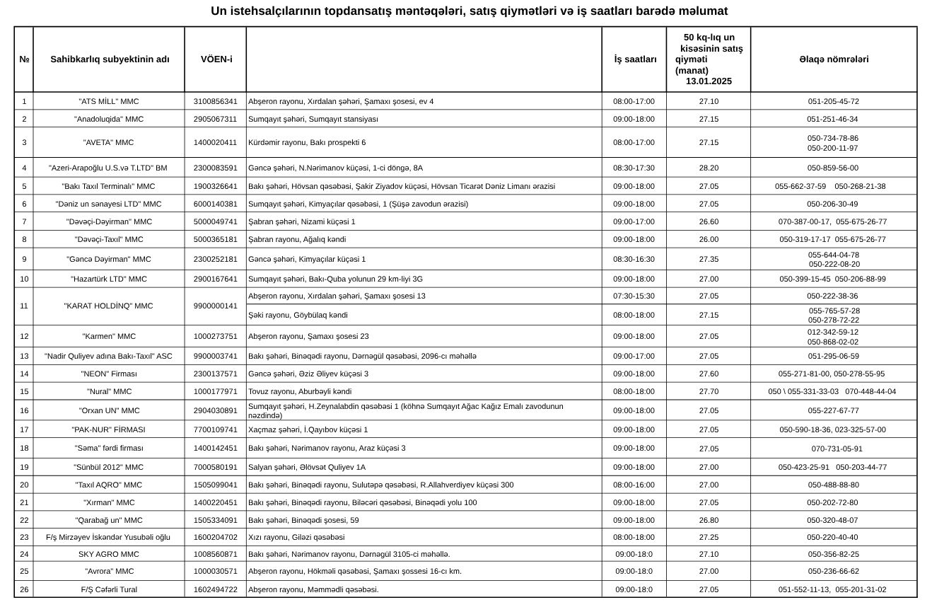
50 kq-lıq un kisəsinin qiymətləri 50 qəpyədək artırılıb.İqtisadiyyat Nazirliyi yanında Antiinhisar və İstehlak Bazarına Nəzarət Dövlət Xidməti 10 fevral 2025-ci il tarixinə "Un istehsalçılarının topdansatış məntəqələri, satış qiymətləri" bardə məlumatları açıqlayıb.
Marja.az-ın əvvəlki qiymətlər ilə apardığı müqayisəsi göstərir ki, son 1 ayda un qiymətləri artırılıb.
Belə ki, 14 Yanvar 2025-ci il tarixində açıqlanmış məlumatda 50 kq-lıq un kisəsinin satış qiymətiləri 26 manat - 28,20 manat civarında ikən, dünüən açıqlanan qiymətlərdən məlum olur ki, artıq un istehsalçılarının topdansatış satış qiymətləri 26,50 manat 28,20 manat civarındadır. Unun kisəsini 27 manatın üzərində təklif edən əksər istehsalçılar qiymətləri 10-50 qəpik civarında artırıblar.
Qeyd edək ki, dünya bazarlarda buğdanın qiyməti artmayıb, əksinə düşüb. Birləşmiş Millətlər Təşkilatının (BMT) Ərzaq və Kənd Təsərrüfatınnın (FAO) Taxıl Qiymətləri İndeksinə görə, taxıl qiymətləri yanvar ayında aylıq müqayisədə 0,3 faiz artsa da, illik müqayisədə 6,9 faiz azalıb. Yanvar ayında buğdanın ixrac qiymətləri cüzi azalma göstərib. Zəif idxal tələbi qiymətlərə təzyiq göstərib.
Un istehsalçılarının topdansatış məntəqələri, satış qiymətləri və iş saatları barədə məlumat - 10.02.2025

Un istehsalçılarının topdansatış məntəqələri, satış qiymətləri və iş saatları barədə məlumat - 10.01.2025

Müştərilərin xəbərləri
"PAŞA Həyat" "Chenot Palace Gabala" ilə tərəfdaşlıq çərçivəsində müştərilərin sağlamlığına fokusunu gücləndirir
SON XƏBƏRLƏR
- 1 ay sonra
- 3 həftə sonra
-
54 d. əvvəl
Neft-qaz sektoruna daxil olan malların ixracı 536 milyon dollar azalıb
-
-
1 saat əvvəl
Azərbaycan xaricdən əti daha baha alıb - İdxalın miqdarı azalıb, dəyəri isə artıb
-
1 saat əvvəl
Tanınmış supermarketlər şəbəkəsinin Ağcabədidə filialı açılıb
-
1 saat əvvəl
Bakı-Tbilisi-Bakı biletləri ilə bağlı yaxın saatlarda ictimaiyyətə məlumat veriləcək
- 1 saat əvvəl
- 1 saat əvvəl
-
1 saat əvvəl
"Grand-Agro" Azərbaycanın zeytun potensialını Madriddə təqdim edib
- 2 saat əvvəl
- 2 saat əvvəl
-
2 saat əvvəl
"Geoengineering" 2025-ci ilin birinci yarısını 484 min manat xalis mənfəətlə başa vurub
Son Xəbərlər
Azvak.az-da yeni iş elanları
55 manatdan bank səhmdarı olmaq fürsəti: SON 25 GÜN
Bakı-Tbilisi-Bakı biletləri ilə bağlı yaxın saatlarda ictimaiyyətə məlumat veriləcək
Mayın 20-nə olan hava proqnozu - 28° isti gözlənilir
"Grand-Agro" Azərbaycanın zeytun potensialını Madriddə təqdim edib
Ən çox oxunanlar
Xərclərini sıfıra endir! Qızmar yayda pulunu yandırma
Azərbaycan neftinin son qiyməti
"Geoengineering" 2025-ci ilin birinci yarısını 484 min manat xalis mənfəətlə başa vurub
"PAŞA Həyat" "Chenot Palace Gabala" ilə tərəfdaşlıq çərçivəsində müştərilərin sağlamlığına fokusunu gücləndirir
Xırdalanda 2-ci KFC açılacaq
Azərbaycan və Gürcüstan 26 maydan Bakı-Tbilisi-Bakı üzrə sərnişin qatarlarının bərpası barədə razılığa gəliblər
Azərbaycan futboluna böyük investisiya — “Sea Breeze Arena” layihəsinin əsası qoyulur




















.jpg)
