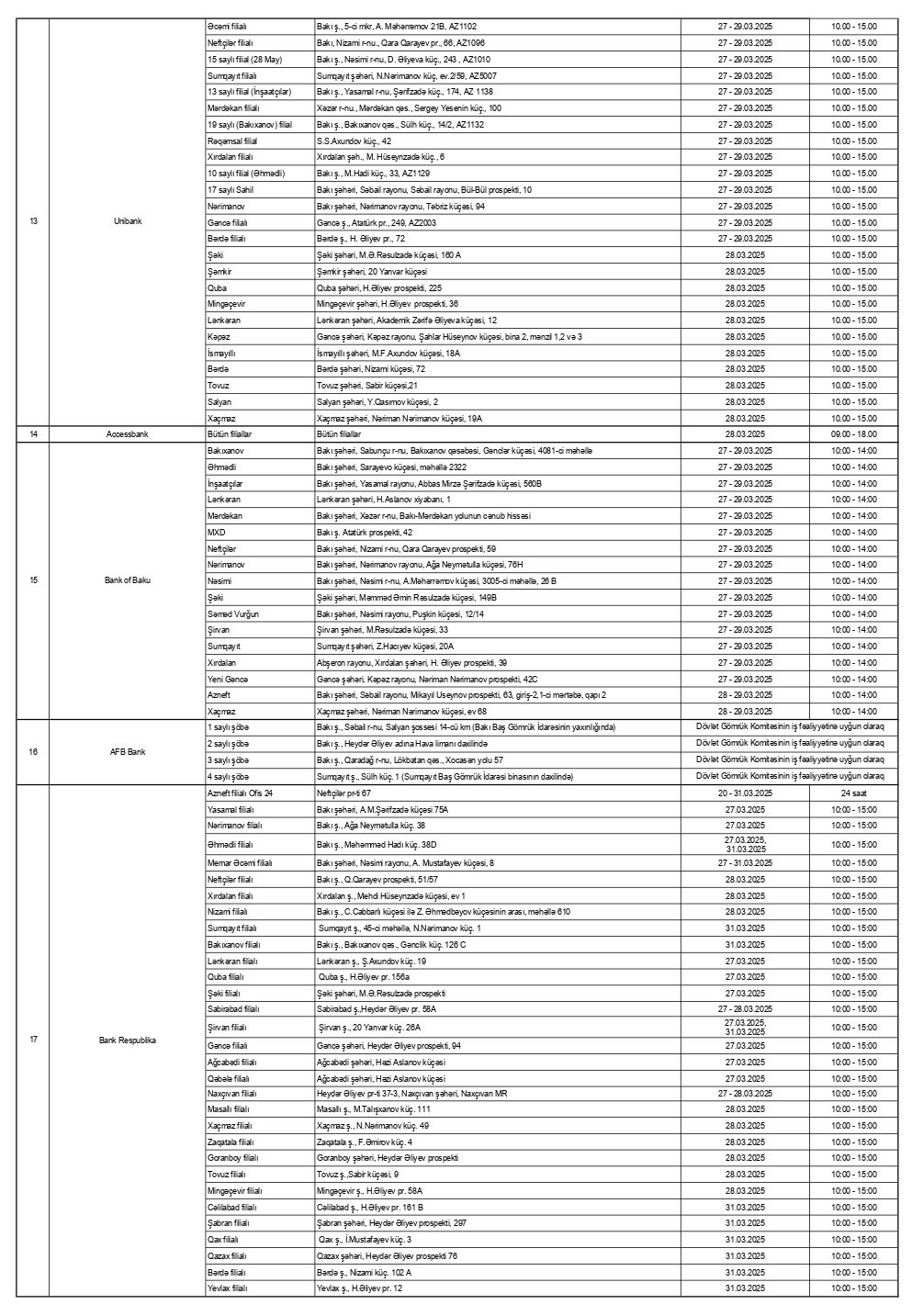
Bayram günlərində bankların iş qrafiki açıqlandı
Bayram günlərində 17 bankın 212 satış nöqtəsi müştərilərə xidmət göstərəcək.20 – 31 mart 2025–ci tarixləri olan qeyri-iş günlərində bankların və “Azərpoçt” MMC-nin bəzi filial və şöbələri, habelə valyuta mübadilə məntəqələri fəaliyyət göstərəcəklər.
Bu barədə Mərkəzi Bank məlumat yayıb.
Qeyd edilib ki, bayram günlərində ölkəmizdə səfərdə olan turistlərin və ölkə vətəndaşlarının valyuta mübadiləsi xidmətlərinə davamlı çıxış imkanlarının təmin edilməsi məqsədilə ümumilikdə 17 bankın 212 satış nöqtəsi (o cümlədən, 4 bank üzrə 9 satış nöqtəsi 24 saat rejimində olmaqla), “Azərpoçt” MMC-nin 30 poçt filialı və şöbəsi, valyuta mübadiləsinə lisenziya almış 8 valyuta mübadiləsi məntəqəsi (o cümlədən, 2-i 24 saat rejimində olmaqla) müştərilərə xidmət göstərəcək.
Bayram günlərində iş qrafiki:
Müştərilərin xəbərləri
SON XƏBƏRLƏR
- 3 həftə sonra
-
2 gün sonra
“Azpetrol LTD” MMC “Top 100” vergi ödəyicisi siyahısında 38-ci yerdə
-
7 saat əvvəl
AYNA taksilərlə bağlı qaydaların dəyişdiyinə dair yayılan xəbərlərə aydınlıq gətirib
-
-
7 saat əvvəl
Daha bir neçə avtobus marşrutları üzrə müsabiqələrin qalibləri müəyyən edilib
-
8 saat əvvəl
"Bank of Baku" “Top 100” vergi ödəyicisi siyahısında - BANK ÖTƏN İL 15 MİLYON MANAT VERGİ ÖDƏYİB
-
8 saat əvvəl
Unibankdan hər kəs üçün “Şənbə aksiyası” – 0 % komissiyalı kredit!
-
9 saat əvvəl
Macarıstanda Peter Magyarın qələbə qazanacağı proqnozlaşdırılır - Forint bahalaşır
-
9 saat əvvəl
Azərbaycan Dəmir Yolları daha çox taxıl və dənli bitkilər daşıyıb
- 9 saat əvvəl
- 9 saat əvvəl
- 11 saat əvvəl
-
11 saat əvvəl
İllik 18% gəlir vəd edən istiqrazların ticarətinə icazə verilib
Son Xəbərlər
AzVak-da elan yerləşdirib, daha tez işçi tapın !
“Azpetrol LTD” MMC “Top 100” vergi ödəyicisi siyahısında 38-ci yerdə
Unibankdan hər kəs üçün “Şənbə aksiyası” – 0 % komissiyalı kredit!
Azərbaycan Dəmir Yolları daha çox taxıl və dənli bitkilər daşıyıb
İnvestisiya Şirkətinin Müşahidə Şurasının sədri dəyişib
Ən çox oxunanlar
Dolların bazar ertəsi üçün rəsmi məzənnəsi müəyyən olunub
ʺBank Melli İranʺ Bakı filialının xalis mənfəəti azalıb
İllik 18% gəlir vəd edən istiqrazların ticarətinə icazə verilib
Britaniyanın Baş naziri və Tramp Hörmüz boğazı üçün hərbi variantları müzakirə edib
“Gəncə KOB evi” sahibkarlar üçün yeni imkanlar yaradır - MÜSAHİBƏ
Aprelin 11-də gözlənilən hava şəraiti
Lufthansa-da tətil 500-dən çox uçuşun ləğvinə səbəb olacaq






















