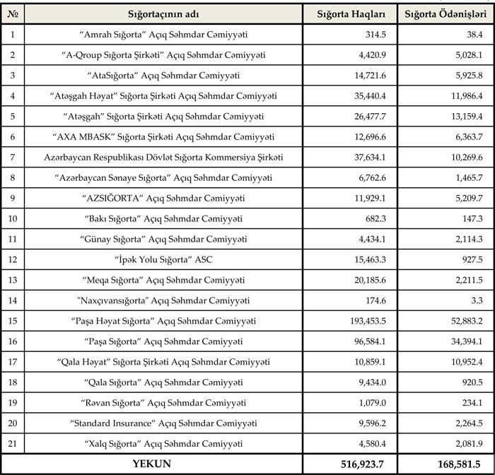
Hansı sığorta şirkəti nə qədər haqq toplayıb? - SİYAHI
2018-ci ilin yanvar-avqust ayları ərzində sığorta şirkətləri tərəfindən hesablanmış sığorta haqları və sığorta ödənişləri
Müştərilərin xəbərləri
SON XƏBƏRLƏR
- 1 həftə sonra
- 1 həftə sonra
- 3 gün sonra
-
- 1 saat əvvəl
- 1 saat əvvəl
-
1 gün əvvəl
Birbank-la NFC ödənişləri tezliklə “Baku Bus”da: SINAQ mərhələsi başladı
-
1 gün əvvəl
"Top" tamamilə Kiyev və onun Avropa sponsorlarının tərəfindədir"
- 1 gün əvvəl
- 1 gün əvvəl
-
1 gün əvvəl
Cahan Şirkətlər Qrupuna daxil olan "Enna" şirkəti "Dayaq" mükafatına layiq görülüb
-
1 gün əvvəl
Nərimanovda premium mənzil arzulayanlar üçün 36 ayadək faizsiz kredit təklifi davam edir
-
1 gün əvvəl
“Naxtel” abunəçilərinin digər mobil operatorlara miqrasiyası uğurla tamamlanıb
Son Xəbərlər
Biznesiniz üçün QISA NÖMRƏ (Ulduz nömrə) alın
Azərbaycanda Vakansiyalar - Azvak.az
Ödənişsiz investisiya seminarı: Yatırımda təcrübə qazan
Kakao qiymətləri düşür, şokoladlar isə hələ də bahadır
Dolların bazar ertəsi üçün rəsmi məzənnəsi müəyyən olunub
Bakcell-in lotereyasında 11-ci lüks avtomobil uduldu!
Nərimanovda premium mənzil arzulayanlar üçün 36 ayadək faizsiz kredit təklifi davam edir
Azərbaycan Dəmir Yolları "Dərnəgül" dayanacağını tikir
Vəhşi heyvan hücumları ilə bağlı fermerlərə çağırış edildi
"Balıq ehtiyatlarının bərpası üçün Xəzərə və daxili su hövzələrinə 17-35 milyon ədəd körpə balıq buraxmağa ehtiyac var"
10 illik proqramı 3 ilə mənimsəmək imkanı - VİDEO+FOTO















.jpg)




.jpg)
