"Avromed" işlənmiş avtomobillərini hərrac yolu ilə satır - QİYMƏTLƏR
"Avromed Company" QSC, balansında olan işlənmiş nəqliyyat vasitələrini hərrac yolu ilə satışa çıxarır.
Hərracda iştirak etmək istəyən hüquqi və fiziki şəxslər satınalma təkliflərini 14.12.2023-cü il saat 18:00-dək qapalı zərflərdə “Avromed Company” QSC-yə təqdim etməlidir.
Təklifdə aşağıdakı məlumatlar qeyd olunmalıdır:
- Fiziki şəxslər üçün: təklifin qiyməti, şəxsiyyət vəsiqəsinin surəti və bank rekvizitləri.
- Hüquqi şəxslər üçün: təklifin qiyməti, şirkətin hüquqi sahibinin şəxsiyyət vəsiqəsinin surəti və bank rekvizitləri.
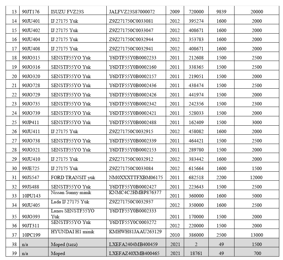
Nəqliyyat vasitələrinin sayı - 39.
Nəqliyyat vasitələri yalnız bir lotda satılacaq, ayrılıqda satışı mümkün deyil.
Əlavə qeydlər:
1. Avtomobillərin Dövlət Yol Polisi idarəsində qeydiyyatı alıcının hesabına aparılacaqdır;
2. ƏDV şirkət tərəfindən ödəniləcəkdir.
Təkliflərin göndəriləcəyi ünvan: “Avromed Company” QSC baş ofis, Neftçilər prospekti 153, Port Baku Cənub Qülləsi, 11-ci mərtəbə, Bakı, AZ1010, Azərbaycan.
Məsul şəxs: Azər Məmmədov, Nəqliyyat Parkının Meneceri (+994 55 215-72-67 / [email protected])
Nəqliyyat vasitələri haqqında ətraflı məlumat və başlanğıc qiyməti aşağıda göstərilib:
Müştərilərin xəbərləri
Azercell Gənclər Günü ərəfəsində Beynəlxalq İnformatika Olimpiadası üzrə milli komanda ilə görüş keçirib
SON XƏBƏRLƏR
- 2 ay sonra
-
5 gün sonra
Yalnız yağın ödənişini edin — Filtr və işçilik bizdən hədiyyə!
-
3 saat əvvəl
Qızıl Trampın FED sədri namizədliyindən sonra ucuzlaşmaqda davam edir
-
- 3 saat əvvəl
- 3 saat əvvəl
-
5 saat əvvəl
Azərbaycan “Cənub Qaz Dəhlizi”nin bir hissəsini ərəblərin şirkətinə satdı - MÜQAVİLƏ İMZALANDI
- 5 saat əvvəl
-
5 saat əvvəl
SOCAR ilə “Yokogawa Europe B.V.” şirkəti arasında Anlaşma Memorandumu imzalanıb
-
8 saat əvvəl
Ölkənin birinci bankı və birinci universiteti arasında memorandum imzalandı
-
8 saat əvvəl
Bank of Baku-nun Mastercard Digital Bolkart kartı qazandırır - 5% KEŞBEK və PULSUZ GEDİŞLƏR!
- 8 saat əvvəl
-
9 saat əvvəl
Tesla-nın Avropadakı satışlarında azalma 2026-cı ildə də davam edir
Son Xəbərlər
Azərbaycanda Vakansiyalar - Azvak.az
Yalnız yağın ödənişini edin — Filtr və işçilik bizdən hədiyyə!
Bakıda daha bir "Pizza Hut" restoranı açılacaq
Azərbaycan “Cənub Qaz Dəhlizi”nin bir hissəsini ərəblərin şirkətinə satdı - MÜQAVİLƏ İMZALANDI
Ən çox oxunanlar
Bank of Baku-nun Mastercard Digital Bolkart kartı qazandırır - 5% KEŞBEK və PULSUZ GEDİŞLƏR!
Dolların sabah üçün rəsmi məzənnəsi müəyyən olunub
Tesla-nın Avropadakı satışlarında azalma 2026-cı ildə də davam edir
İnnovasiya və Süni İntellekt” üzrə təqaüd proqramına qeydiyyat davam edir - Gənclərin nəzərinə
Prezident İlham Əliyev Birləşmiş Ərəb Əmirliklərinə səfərə gəlib
“InvestAZ”dan dünya maliyyə bazarları ilə bağlı həftəlik analiz






















